Tasarruf ve yatırım dünyasının en önemli araçları arasında yer alan bileşik faiz, yatırımların zaman içinde katlanarak büyümesini sağlıyor. Basit faize oranla daha yüksek bir getiri sunan bu faiz türünü iyi anlamak, finansal geleceğini en iyi şekilde planlamak isteyen herkes için kritik önem taşıyor.
“Faizin faizi” olarak da adlandırılan bileşik faiz, zaman içinde paranın daha hızlı bir şekilde büyümesini sağlayan bir sistem. Bu faiz türünde birikimler yalnızca anaparaya değil, aynı zamanda daha önceki dönemdeki faiz kazançlarına da faiz eklenerek büyüyor. Özellikle uzun süreli yatırımlarda sıkça tercih edilen bileşik faiz, yatırımcılara zamanla artan bir kazanç potansiyeli sunuyor. Bileşik faizin özellikleri, hesaplama yöntemi, faydaları ve çok daha fazlası için vakit kaybetmeden okumaya başla!
1. Bileşik Faiz Nedir?
Bileşik faizin tanımına geçmeden önce ilk olarak faiz nedir açıklayarak başlayalım. Borç alınan paranın geri ödenen miktarına eklenen ek ücrete faiz deniyor. Bileşik faiz ise bir yatırımın veya borcun faizinin, yalnızca başlangıçta yatırılan anaparanın değil, aynı zamanda anaparaya eklenen faizlerin de dahil edildiği hesaplama yöntemini ifade ediyor. Faizin her dönemde birikerek anaparaya eklendiği ve daha fazla kazanç getirdiği bu yöntem, yatırımların daha hızlı büyümesini sağlıyor.
Yatırımın veya borcun toplam değerinin önemli ölçüde arttığı bileşik faizde yatırımcılar özellikle birikimlerini katlamayı hedefliyor. Bununla birlikte, kredi kartı borçlarından yatırım hesaplarına, banka mevduatlarından diğer finansal araçlara yaygın bir kullanım alanına sahip bu faiz türünde yatırımcıların kazançları hızla artarken borçluların ödeyeceği tutar da hızla yükseliyor.
2. Bileşik Faiz Nasıl Hesaplanır?

Bileşik faiz hesaplanırken başlangıçtaki anaparanın yanı sıra önceki faizler de dikkate alınıyor. Doğru hesaplama yapmak, hem ne kadar kazanacağını net bir şekilde görebilmen hem de birikimlerinin büyüme potansiyelini daha iyi anlaman için önemli rol oynuyor. Bileşik faiz, yıllık ve aylık olarak iki şekilde hesaplanıyor.
2.1. Yıllık Bileşik Faiz Hesaplama Yöntemi Nedir?
Yatırımın veya borcun faizinin yılda bir kez anaparaya eklenerek hesaplandığı yöntemi ifade ediyor. Formül ise aşağıdaki gibi oluşuyor:

Burada:
- A: Yatırımın sonunda elde edilen toplam tutar (anapara + faiz)
- P: Başlangıçta yatırılan anapara
- r: Yıllık faiz oranı
- t: Yatırım süresini (yıl olarak) ifade ediyor.
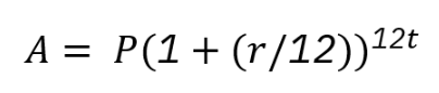
2.2. Aylık Bileşik Faiz Hesaplama Yöntemi Nedir?
Aylık bileşik faiz ise faizin her ay anaparaya eklenmesiyle hesaplanıyor. Yatırımcılar veya borçlular, hızlı büyüyen faiz sayesinde finansal durumlarını daha etkili bir şekilde planlayabiliyor. Aylık bileşik faiz hesaplaması, konut kredilerinden kredi kartlarına daha gerçekçi ödeme planları oluşturmak için yaygın olarak kullanılıyor.
Formülü ise şu şekilde:

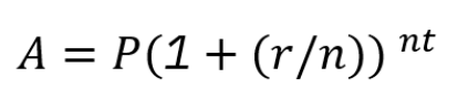
3. Bileşik Faiz Hesaplama Formülü
Bileşik faiz hesaplamanın genel formülü ise aşağıdaki gibi karşımıza çıkıyor:

Burada ise:
- A = Toplam tutar (anapara + faiz)
- P = Başlangıçta yatırılan anapara (veya alınan borç)
- r = Yıllık faiz oranı (ondalık cinsinden)
- n = Faizlenme frekansı (yılda kaç kez faiz uygulandığı)
- t = Yıl sayısı (yatırım süresi) olarak formüle dahil ediliyor.
4. Bileşik Faizin Sunduğu Avantajlar Nelerdir?

Bileşik faiz, birçok yatırımcı için zamanla büyüyen ve sürdürülebilir getiriler sağlayan bir yatırım aracı olarak öne çıkıyor. İşte bileşik faizin sağladığı bazı avantajlar:
- Bileşik faizin zamanla katlanarak büyüme gücü, bu aracı uzun vadeli yatırımlar için ideal hale getiriyor. Yatırımcılar, zaman içinde kazançlarını artırmak ve finansal hedeflerini gerçekleştirmek amacıyla bileşik faizden faydalanıyor.
- Her dönemde kazanılan faizin anaparaya eklenmesiyle birlikte getiriler de artıyor. Bu durum yatırımların uzun vadede katlanarak hızla büyümesine yol açıyor.
- Büyük bir kazanç potansiyeli taşıyan bu faiz türü, yatırımcıları daha fazla yatırım yapmaya teşvik ediyor.
- Yatırımcılar, bileşik faiz sayesinde daha düşük faiz oranlarıyla dahi yüksek getiriler elde etmek imkanına sahip oluyor.
- Yatırım sürecini oldukça basitleştiren bileşik faiz, karmaşık yatırım stratejilerine gerek duymadan finansal hedeflere doğrudan ulaşmayı kolaylaştırıyor.
- Mevduattan tahvillere ve kredilere birçok farklı yatırım aracında kullanılan bileşik faiz sayesinde yatırımcılar çeşitli finansal araçlardan yararlanma ve kazançlarını artırma şansı buluyor.
- Bileşik faiz hesabının doğru yapılması, etkili bir borç yönetimi yapmanın yolunu açıyor. Bu sayede borçlu kişiler faiz yüklerini daha iyi anlıyor, bu doğrultuda ödeme stratejileri geliştiriyor ve faizlerin birikmesini engelleyerek borç ödemelerini hızlandırıyor.
Midas’ın bileşik faiz hesaplama aracını kullanarak yatırımlarının büyümesine dair önemli içgörüler elde edebilirsin. Midas ile Borsa İstanbuldan Amerikan borsalarına, yatırım fonlarından kripto varlıklara kadar birçok araca kolayca yatırım yapabilirsin. Hemen Midas uygulamasını telefonuna indir, tüm yatırımlarına en iyi şekilde yön ver!
Kaynak: Bülten
Son dakika gelişmelerden anında haberdar olmak için WhatsApp haber kanalımıza katılın.
Gelişmelerden zamanında haberdar olmak istiyor musunuz? Google News’te KONHABER'e abone olun.
