DOLAR : 44,15₺
EURO : 51,32₺
STERLİN : 58,92₺
GRAM : 7.503,66₺
ÇEYREK : 12.384,77₺
CUMHURİYET : 49.163,76₺
Güncel

Konya'da ehliyet ücretlerine zam! Araba ve motor ehliyeti ne kadar oldu?

Eklenme: 16.01.2026 - 11:23

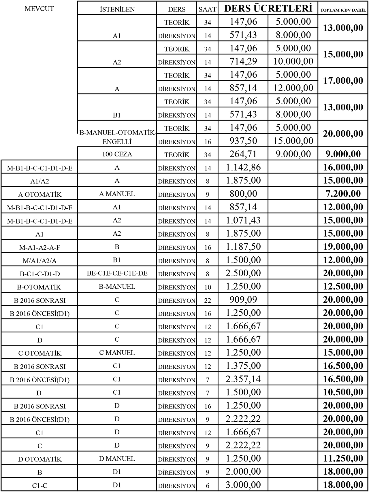
Konya’da 2026 yılı itibarıyla sürücü kursu ücretlerine zam geldi. Yapılan zam sadece B sınıfı (otomobil) ve A sınıfı (motosiklet) ehliyetlerini kapsıyor. Diğer ehliyet sınıflarının fiyatlarında ise büyük ölçüde değişiklik olmadı. Peki, araba ve motor ehliyeti ne kadar oldu? İşte ayrıntılar...

Konya'da ehliyet ücretlerine zam! Araba ve motor ehliyeti ne kadar oldu?
Reklam alanı

2026 yılıyla birlikte Yeniden Değerleme Oranı (YDO) etkisiyle devlet harçları ve sürücü kursu ücretlerinde artışlar yaşandı. Sürücü adaylarının en çok merak ettiği B sınıfı (otomobil) ehliyet maliyeti ve diğer sınıflara göre güncel fiyatlar da belli oldu. Peki, Konya'da B sınıfı (otomobil) ehliyet maliyeti ne kadar oldu? İşte ayrıntılar...

Araba ve motor ehliyeti ne kadar oldu?
Yeni yıl itibarıyla özellikle otomobil ve motosiklet ehliyetlerinde dikkat çeken bir artış yaşandı. Güncellenen fiyat listesine göre Konya'da B sınıfı (otomobil) ehliyeti 20.000 TL oldu. A, A1 ve A2 motosiklet ehliyetleri ise kursuna göre değişmekle birlikte 13.000 TL ile 15.000 TL arasında belirlendi.

 İşte, Konya'da ehliyet almak isteyenleri bekleyen maliyetler...DİĞER EHLİYET SINIFLARINDA FİYATLAR SABİT
Kamyon, otobüs, minibüs ve özel araç sınıflarını kapsayan C, D ve türev ehliyet gruplarında ise yeni yılda ek bir artış yapılmadı. (Veli Şengül)

Reklam alanı

Son dakika gelişmelerden anında haberdar olmak için WhatsApp haber kanalımıza katılın.

Kanala Katıl

Gelişmelerden zamanında haberdar olmak istiyor musunuz? Google News’te KONHABER'e abone olun.

Abone Ol
Yasal Uyarı: Yayınlanan haberler, köşe yazıları, fotoğraflar, yazı dizileri ve her türlü eserin tüm hakları Mirajans Medya İletişim Reklam Haber ve Prodüksiyon A.Ş.'ye aittir. Kaynak gösterilerek bile olsa eserin bütünü veya bir kısmı özel izin alınmadan kullanılamaz.

⚡ BU HABERE EMOJİYLE TEPKİ VER!

👏 1
❤️ 1
😊 1
😡 4
👎 4
😂 2
😢 1
😲 1
Toplam 15 tepki

Yorum Yap